Kazık Gruplarının Oturması
Kazık gruplarının oturması başlığı altında blok halinde toplam oturma ve grup içindeki kazıkların her birinin yapması beklenen deplasmanlar ele alınacaktır.

Aşağıdaki şekilde bir yüzeysel temel ve birisi kısa diğeri uzun kazıklar ihtiva eden iki ayrı temel sisteminden kaynaklanan gerilme dağılımları görülmektedir. Her biri eşit yayılı yük taşıyan üç temelden kazıklı olanlar kazık boyuna bağlı olarak yükü derindeki daha rijit tabakalara aktarmakta, bu sayede toplam oturma miktarını düşürmektedir. Ancak dikkatli olunmazsa kazıklı temellerde sığ temeller için görülen oturma problemleri yaşanabilir.

Blok oturmasının hesabına yönelik olarak zemin sıkışma parametrelerinin elde edilmesi için sondajlardan uygun sayıda olanları eşdeğer temel seviyesinin altına doğru B~2B kadar devam etmelidir. Ancak bilhassa 40m derinlikten itibaren Shelby veya Denison tüp ile örselenmemiş örnek alımı pek mümkün olmamakta, bu nedenle sıkışma parametreleri korelatif ilişkiler yoluyla tahmin edilebilmektedir.
Blok Oturması
Kazık gruplarının blok halinde oturması eşdeğer radye temel seviyesinden itibaren başlar. Eşdeğer radye temel seviyesi zemin profillerinin çoğunda kazık başlığı tabanından itibaren 2L/3 derinliğinde (L: serbest kazık boyu) olmasına rağmen tabakaların durumuna göre bir kısım farklılıklar arz eder:


Eşdeğer radye temel seviyesinin altında kalan tabakaların ortasında gerilme artışı hesaplandıktan (örneğin 63.5 yöntemiyle) sonra bunların sıkışması hesaplanır. Bunların kümülatif toplamı kazıklı temelin toplam oturmasını verir.
Suya doygun kohezyonlu zeminlerde sıkışma parametreleri konsolidasyon deneyinden, bu deneye ait bulgular yoksa korelatif ilişkilerden elde edilir.



Zemin sıkışma parametrelerini (sıkışma indisi: Cc , tekrar sıkışma indisi: Cr , doğal boşluk oranı: e0 , hacimsel sıkışabilirlik katsayısı: mv , drenajsız deformasyon modülü: Eu , drenajlı deformasyon modülü: E’) yaklaşık olarak sağlayan ilişkiler laboratuvar veriler ve arazi deney verileri başlıkları altında toplanabilir.
Korelasyonların güvenirliği saha tecrübeleri ve kaliteli örnekler üzerinde elde edilen verilerle kıyaslanmak üzere sınanmalıdır. Suya doygun killerde drenajsız kayma mukavemeti (su) ve deformasyon modülü (Eu veya E’) arasında geçiş olduğu için su için bir kısım korelasyonlar da bilgi amacıyla eklenmiştir.

SPT-N Değerinden Yola Çıkan Korelatif İlişkiler
Standart Penetrasyon Deneyi (SPT) direnci ve zeminin mukavemet, rjitlik ve sıkışma parametreleri arasındaki korelatif ilişkilerin kullanılması söz konusu olduğunda kohezyonlu zeminler için dikkatli olunmalıdır. Zeminin plastisite indisi, önyükleme durumu, korelasyonda kullanılan laboratuvar veya arazi deneyi türü, örnek kalitesi (ödometre, tek eksenli basınç, üç eksenli basınç veya Arazi Veyn Deneyi) ile SPT deneyinin yapılış şeklinin bağıntılar üzerinde etkisi vardır.
Drenajsız kayma mukavemeti, su, ve arazi SPT değeri, N60 (yalnızca enerji düzeltmesi uygulanmış) arasındaki ilişkiyi değişim aralıkları halinde veren Terzaghi-Peck (1967) korelasyonu, aşağıdaki çizelgede verilmiştir. Bu çizelgenin doğrusal regresyona dökülmüş hali
su=6.25N60 [kPa]
ile ifade edilebilir.


Bunun dışında Sivrikaya ve Toğrol (2007) ince daneli zeminler için genel korelasyonlar önermişlerdir:
su=4.3N60 [kPa] (tek eksenli basınç deneylerinden)
su=5.1N60 [kPa] (üç eksenli basınç deneylerinden)
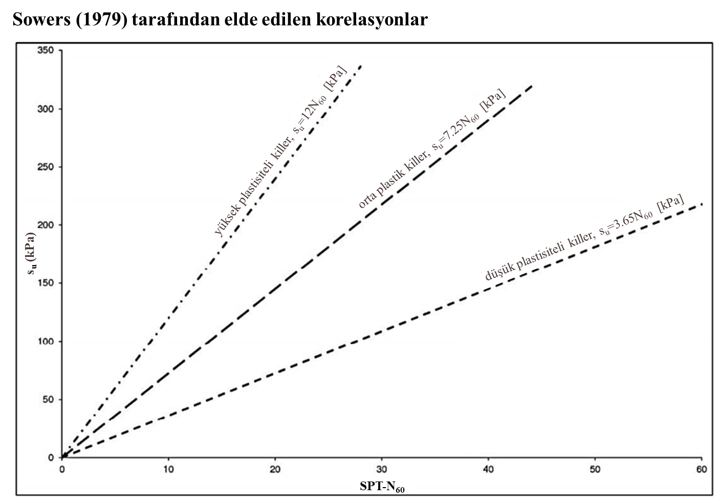
İzleyen abakta Sowers (1979) korelasyonları verilmiştir.

Drenajsız Kayma Mukavemeti Tahmini




Kohezyonsuz Zeminlerin Sıkışma Parametrelerinin Tahmini
Kohezyonlu zeminlerin aksine kohezyonsuz zeminlerin sıkışma parametrelerinin arazi deneyleri yoluyla tahminine yönelik çok daha fazla korelatif ilişki vardır. SPT ve CPT deneyleri örselenmemiş örnek alınamayan kohezyonsuz zeminler hakkında geniş bir veri tabanı oluşmasına yardımcı olmuştur.
Literatürde mevcut pek çok yöntem arasında Hough Yöntemi (1959) kullanım kolaylığı ve sıkışma indisi (Cc) ile (e0) parametrelerini birleştirmesi açılarından tercih nedeni olabilmektedir. Orijinal Hough abağı (Cc ve e0 parametrelerinin kombine edildiği taşıma kapasitesi indeksi,) bilahare Cheney ve Chassie (2002) tarafından modifiye edilmiş ve oturmaların olduğundan fazla hesaplanma durumu bir nebze düzeltilmiştir. Bu yöntem normal konsolide kumlara uygulanabilir. Kumların önyükleme durumunun belirlenmesinin çok güç olduğu dikkate alındığında kum tabakaları için yapılan hesapların güvende tarafta kaldığı anlaşılacaktır.
Hough yönteminin dışında kohezyonsuz zemin tabakalarının oturması için Burland-Burbidge (SPT tabanlı) veya Schmertmann (CPT tabanlı) yöntemlerinden uygun görülen birisi de kullanılabilir. CPT ekipmanının 40m’den daha derine pek inemediği dikkate alındığında derin kazıklarda Schmertmann yönteminin fazla kullanım alanı bulamayacağı düşünülebilir.

Grup Kazıklarının Deplasmanı
Bir kazık grubu içindeki kazıkların maruz kaldıkları eksenel yükler altında göstereceği deplasmanların hesabı temel alanı içindeki farklı oturmanın ve buna bağlı gelişecek iç kuvvetlerin kontrol altına alınması için çok önemlidir. Temel kazıkları birbirine göreceli olarak izin verilen sınırların ötesinde deplasman yaparsa önce kazık başlığında, bilahare üst yapıda çatlak şeklinde hasar meydana gelecektir.


Bir grup içindeki kazıkları düşey yükler altında yapacağı deplasmanların hesabı gerçek bir zemin-kazık-temel-üst yapı etkileşim problemidir ve zemin-yapı etkileşimi genel başlığı altında ifade edilir. Bu problem aynı zamanda işletme yükleri altında kazık performansının incelenmesi anlamına gelir. Zemin, kazık, temel ve üst yapı rijitliği problemin unsurlarıdır.
Sınır koşullarının karmaşıklığı performans tabanlı analiz için sayısal yöntemlerin kullanılmasını zorunlu kılar. Zemin kütlesini de içine alan üç boyutlu sonlu elemanlar analizi gerek yazılımın gerekse bu görev için gerekli bilgisayarın çok pahalı olması; ayrıca analizlerin çok zaman gerektirmesi nedenleriyle basitleştirilerek yapılır.
Problemin serbestlik derecesini azaltmanın en kolay yolu zemini modelden kaldırmak ve bunun yerine zemin-kazık ilişkisini kuran yük-deplasman eğrilerini (sürtünme direnci için t-z eğrileri, uç direnci için Q-w eğrisi ve yanal yönde kazığı çevreleyen zeminin desteği için yatay yük deplasman eğrileri olan p-y eğrileri) kullanmaktır.
